Documents
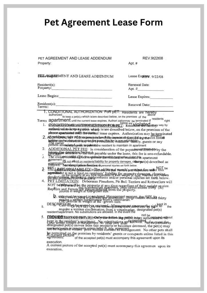
Pet Sitting Contract Template form
Summary
Aquire Sample Pet Sitting Contract Template Letter from our site.Obtain from different filetype like Rtf, Zip, Pdf, Microsoft Docx, Micrsoft Document, Otd, Google document.
User Review
( votes)DOWNLOAD ON GOOGLE DOC
DOWNLOAD ZIP FILE
DOWNLOAD RTF FILE
DOWNLOAD PDF FILE
DOWNLOAD ODT FILE
DOWNLOAD DOCX FILE











