Documents
Prepare a sub-contractor agreement to protect your rights
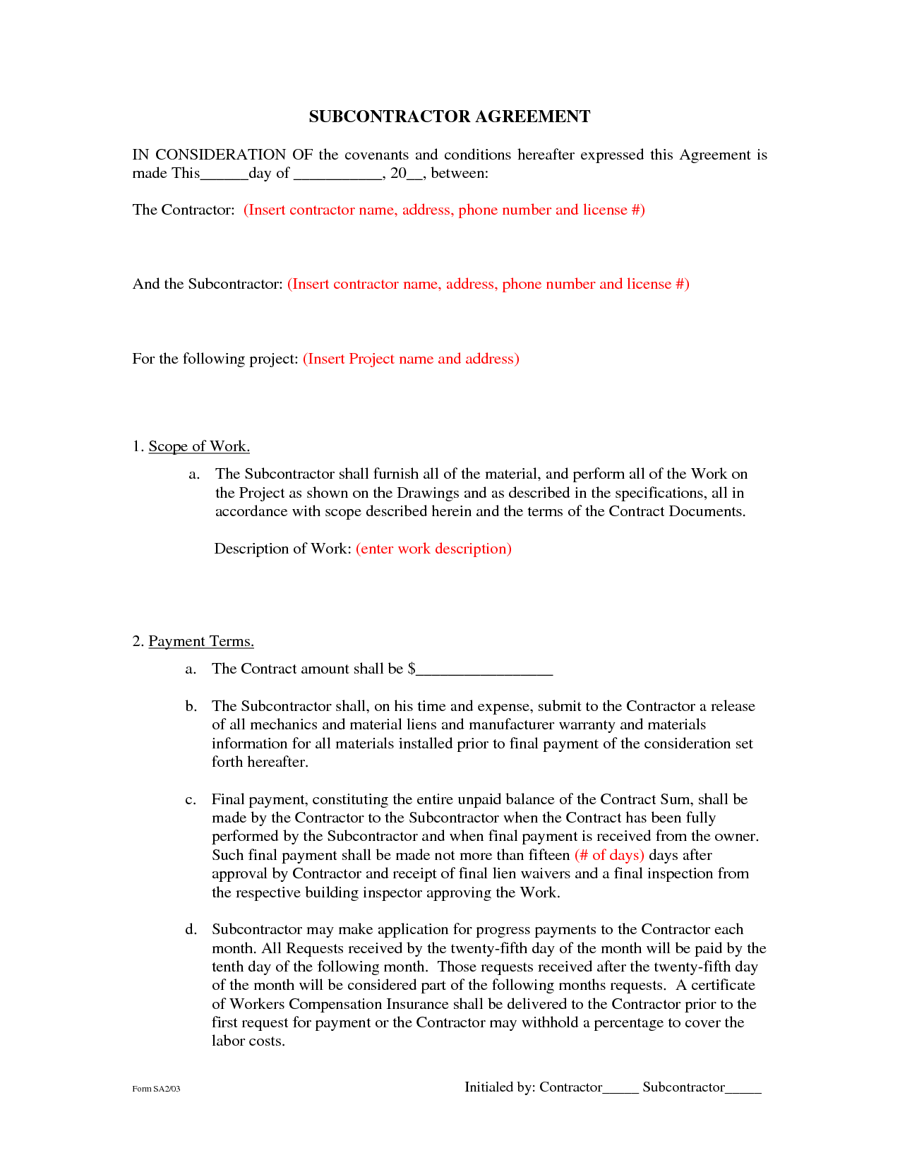
Are you a subcontractor or a contractor who is working on a construction project? Then you have to prepare a subcontractor agreement form. This is an agreement that has to be prepared by the contractors, whether he/she is working on minor or colossus project. This generally protects their interest, rights and include all the points that they have to do in the construction site to complete the project successfully and on time. This is generally needed to be prepared by the person who is well-versed in the legal rules. However, this has to be prepared by the sub-contractor who is actually providing labor and other services to the main contractor. This has to be signed by both the parties after reading the terms carefully. Moreover, this subcontractor agreement formis also cut between the sub-contractor and contractor, where the contractor wants to hire a sub-contractor to carry out the petty construction job on their sites.
Whether you are sub-contractor or a contractor who wants to hand over the mantle of petty jobs, then this agreement is a must. This agreement actually avoids the conflict between the people and protect their interests. This accord totally covers all the services, labor, wages, construction material that is provided by the contractor, period you need to finish the work and other rules. Alongside, this agreement, even covers the insurance, indemnification and orders. Moreover, this agreement is totally prepared in the construction perspective. This has to be prepared by the professionals who have significant experience. Most importantly, this should not include any legal jargons. It should be laconic and professional. The contractor and sub-contractors possess equal rights to ask, in case if anything is going on against the clauses mentioned in the agreement.
Subcontractor Agreement Form
DOWNLOAD RTF FILE
DOWNLOAD PDF FILE
DOWNLOAD ODT FILE
DOWNLOAD DOCX FILE














